令和7年度の地域別最低賃金額改定

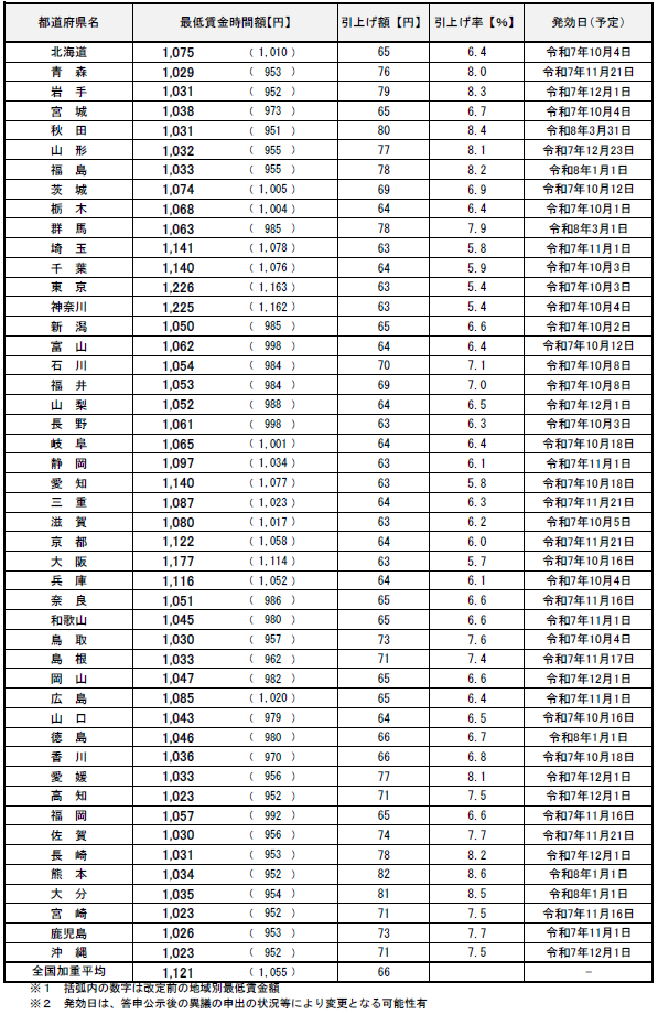
令和7年度の地域別最低賃金額改定に向けて、すべての都道府県で答申が出そろいました。全国平均は1121円と、前年度から66円アップ。引き上げ幅は過去最大となります。例年は10月以降の発効ですが「各地方最低賃金審議会が実態に即して発効日を柔軟に決定することが望ましい」という意見が出ており、引き上げは10月1日から2026年3月31日までに順次発効予定です。

2025年09月20日